OA办公系统
招生信息网
首页
bw必威西汉姆联官方网站
学校简介
关于广现
现任领导
组织架构
信息公开
地理位置
教学教辅
betway必威游戏平台
信息工程学院
智能制造学院
建筑与艺术学院
经济与管理学院
通识教育学院
马克思主义学院
教育学院
健康学院
betway必威在线注册
教育技术网络中心
行政机构
党办
团委
教务处
学生处
betway必威中文版
科研处
党建在线
现代要闻
通知公告
专题宣传
学校要闻
媒体新闻
视频天地
betway必威手机
招生信息网
就业创业信息网
betway必威中文版
继续教育
现代要闻
通知公告
专题宣传
学校要闻
媒体新闻
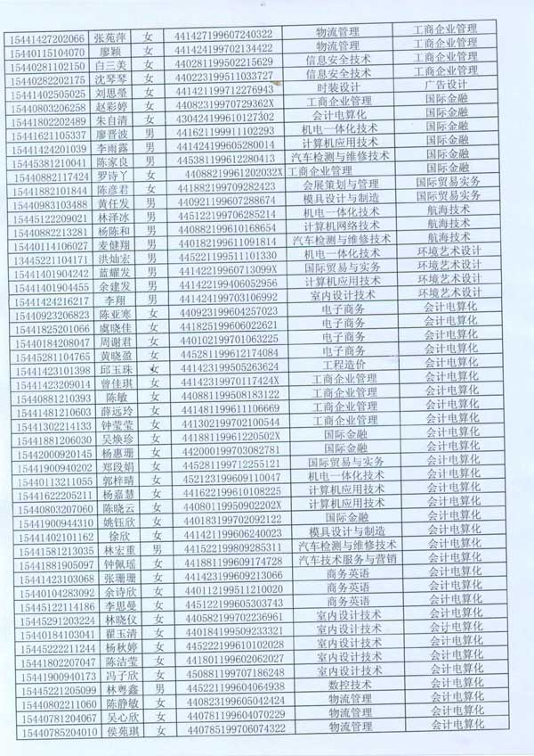
关于我院220名学生转专业的通知
发布时间:2015-12-22
上一篇:
2015届毕业生就业质量年度报告
返回
下一篇:
2014届毕业生就业质量报告
Betway·必威(西汉姆联)唯一官方网站